第03版:时事·要闻 上一版3  4下一版
 
版面导航

第01版
头版

第02版
要闻

第03版
时事·要闻
 
标题导航
首页 | 版面导航 | 标题导航 |
2023年01月27日 星期五
3 上一篇 放大 缩小 默认
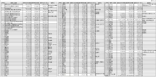
中国长城资产管理股份有限公司湖南省分公司债权催收公告

  根据中国长城资产管理股份有限公司湖南省分公司与原债权人中国农业银行股份有限公司株洲分行签署的《委托资产批量转让协议》,原债权人中国农业银行股份有限公司株洲分行对借款人和担保人所享有的债权由中国长城资产管理股份有限公司湖南省分公司承继并享有。请债务人、担保人或其承继人立即向中国长城资产管理股份有限公司湖南省分公司履行还款义务或承担担保责任。(注:本公告清单列示的本金及利息余额基准日为2023年1月10日,孳生利息以实际为准,涉及币种除注明外均为人民币,单位为元。若借款人、担保人因各种原因发生更名、改制、歇业、吊销营业执照或者丧失民事主体资格等情形,请相关承债主体、清算主体代为履行义务或者承担清算责任。公告中担保人包括保证人、抵押人、出质人等。)

  下述债务已全部逾期,债务人已构成违约,请立即履行还款义务或承担担保责任。我司将依合同约定及国家规定收取利息至实际还款之日。2023年1月13日,我司已通过邮政快递向各债务人及担保人寄送《债权催收通知书》、《履行担保义务通知书》,现再通过公告方式进行债权催收。

  特此公告

  联系人:王经理 潘经理   

  电话:0731-89903915 0731-84458563

  中国长城资产管理股份有限公司湖南省分公司

  2023年1月27日

3 上一篇 放大 缩小 默认
  © 版权所有 湖南日报报业集团 
copyright © 2008 VOC.COM.CN, Geo Info. All Rights Reserved
互联网新闻信息服务许可证:4312006003 经营许可证:湘ICP证010023 ICP备案号:湘ICP备10011883号